Sách Luyện Kỹ Năng Giải Toán Hóa Học 9

Đã bán: 2
Đánh giá:
5 sao tại tiki
60,700đ 66,000đ
Tiết kiệm:
5,300đ
so với giá thị trường Đề xuất
Tham khảo có 3 nơi bán

3 Đánh Giá - Nhận Xét Từ Khách Hàng trên TIKI

No name

Nội dung sách hay, chất lượng giấy kém. Mình đã mua kèm đơn hàng khác để được miễn phí ship hàng. Hôm nay nhận được sách nhưng sao vẫn phải trả phí vận chuyển là 29.000đ vậy Tiki. Xem lại chính sách với khách hàng nhé.

Tiki Care
Tiki Care
Chào bạn, dịch vụ Tiki Now tính phí 29k cho 1 đơn hàng nhé, chỉ miễn phí Tiki Now khi mua gói Tiki Now hoặc thanh toán ưu đãi với chương trình Momo hay Zalopay thôi ạ. Bạn có thể tham khảo thêm hình thức giao hàng TikiNOW và cước phi tại đây ạ: https://hotro.tiki.vn/hc/vi/articles/115004235466

Thông số kỹ thuật Sách Luyện Kỹ Năng Giải Toán Hóa Học 9

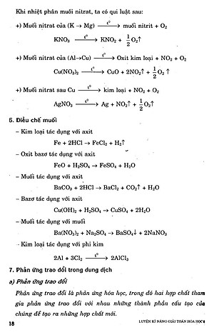
Luyện Kỹ Năng Giải Toán Hóa Học 9 là cuốn sách gồm những bài tập tự luận, được viết cho đối tượng chính là học sinh lớp 9, những kiến thức và bài tập được biên soạn từ cơ bản đến nâng cao gắn liền với nội dung và chương trình sách giáo khoa hiện hành. Sách gồm 6 chương. Cấu trúc của mỗi chương như sau: A. Lí thuyết: Tóm tắt những kiến thức từ cơ bản đến nâng cao theo từng đơi vị bài để tạo điều kiện cho học sinh không những nắm chắc và vững mà còn có khả năng nâng cao kiến thức. B. Bài tập Các bài tập tự luận được khai thác ở nhiều khía cạnh khác nhau nhằm giúp các em học sinh tự rèn luyện kĩ năng giải toán Hóa học và ôn tập kiến thức đã học ở nhà trường. Ngoài ra, sách còn có phần hướng dẫn giải hầu hết các bài tập, lời giải rõ ràng, phù hợp với trình độ chung của học sinh.

 

 

 

 

Giá sản phẩm trên Tiki đã bao gồm thuế theo luật hiện hành. Bên cạnh đó, tuỳ vào loại sản phẩm, hình thức và địa chỉ giao hàng mà có thể phát sinh thêm chi phí khác như phí vận chuyển, phụ phí hàng cồng kềnh, thuế nhập khẩu (đối với đơn hàng giao từ nước ngoài có giá trị trên 1 triệu đồng).....

Cùng thương hiệu

Đăng nhập
Đăng ký