Thông số kỹ thuật Sách Kĩ Thuật Giải Nhanh Bài Toán Hay Và Khó Đại Số Giải Tích 11
Kĩ Thuật Giải Nhanh Bài Toán Hay Và Khó Đại Số Giải Tích 11
Newshop.vn xin giới thiệu đến cuốn Kĩ Thuật Giải Nhanh Bài Toán Hay Và Khó Đại Số Giải Tích 11 của tác giả Nguyễn Duy Hiếu, Cuốn sách tham khảo toán lớp 11 này được chia thành 5 chương.
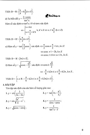
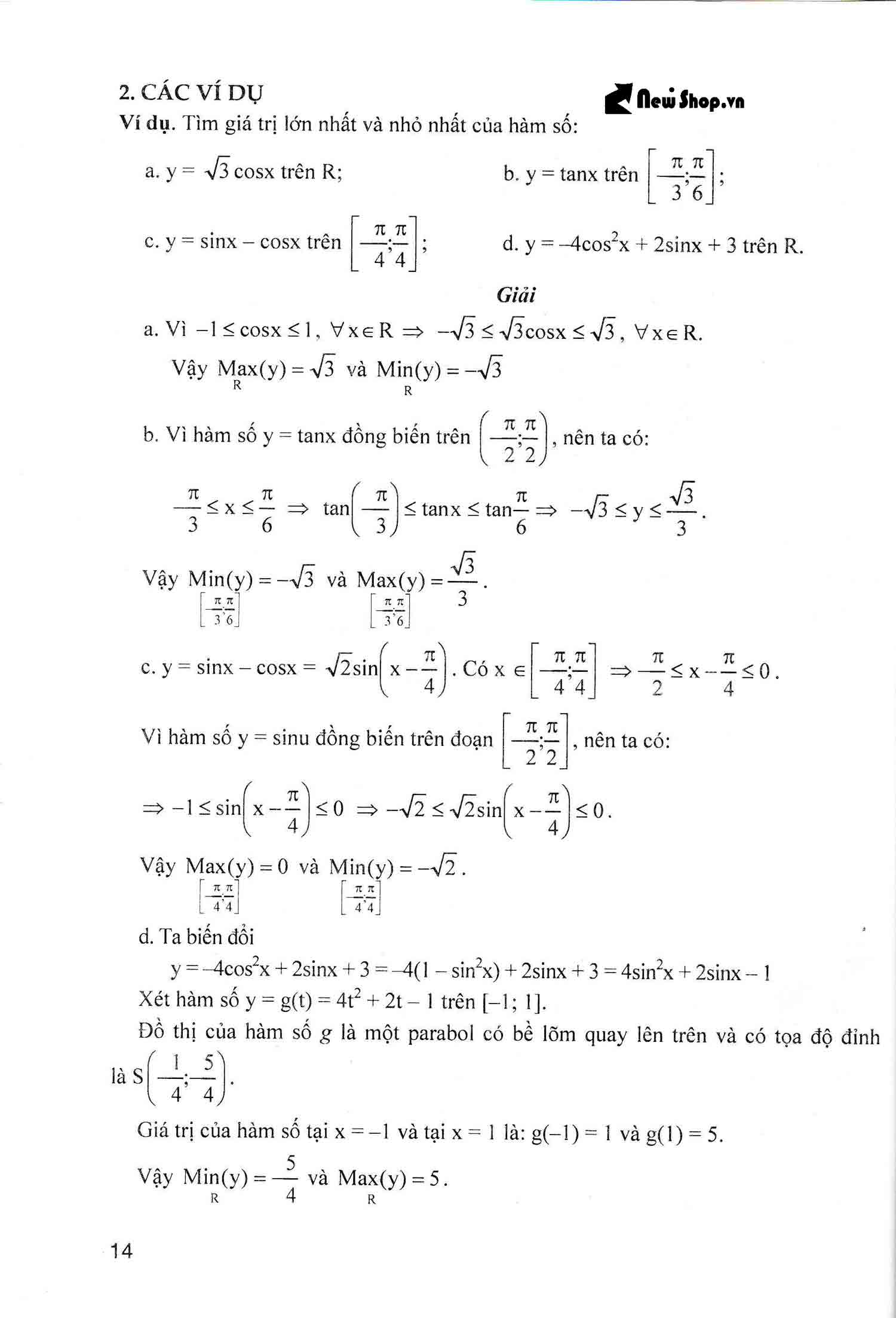
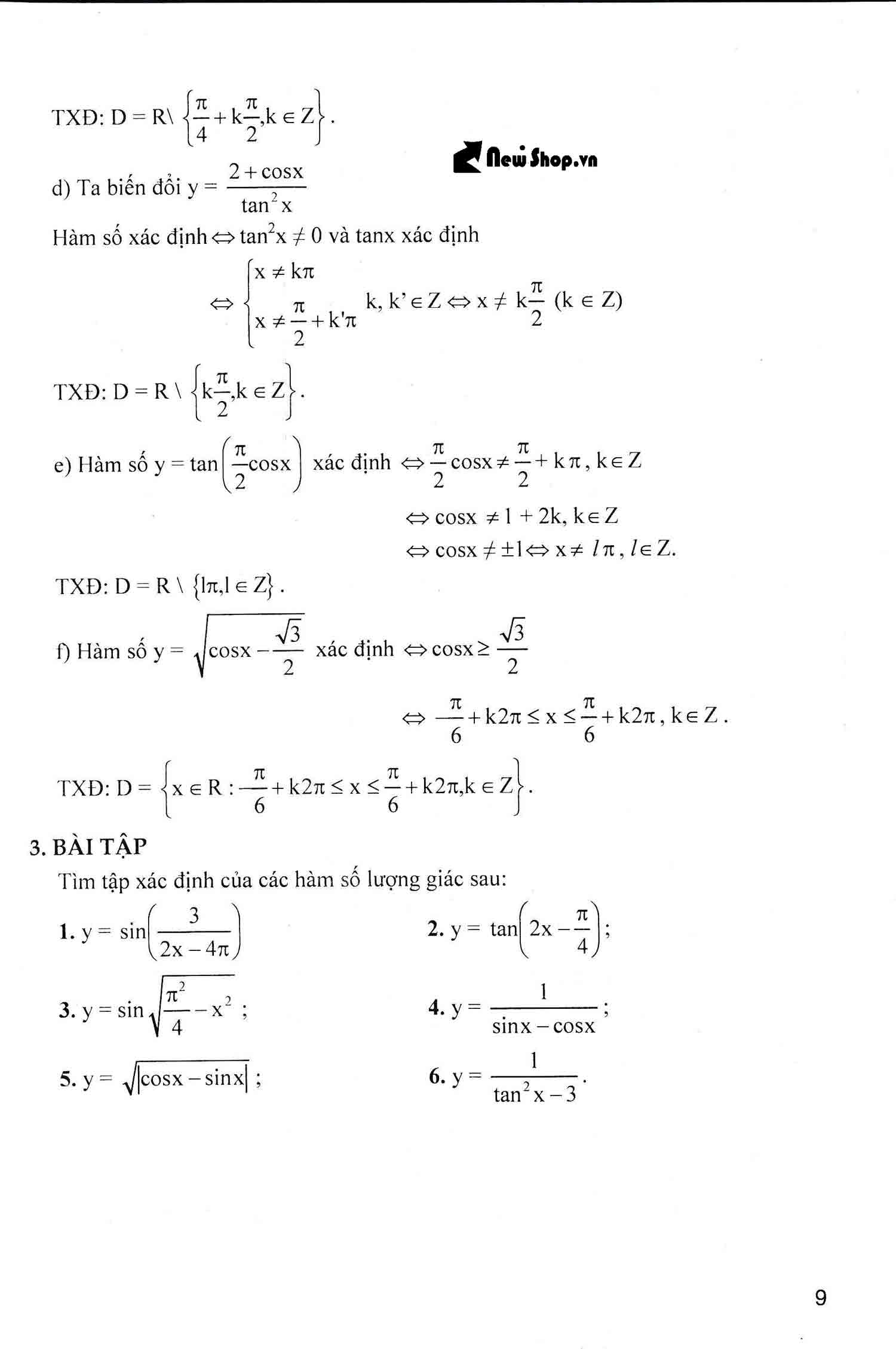
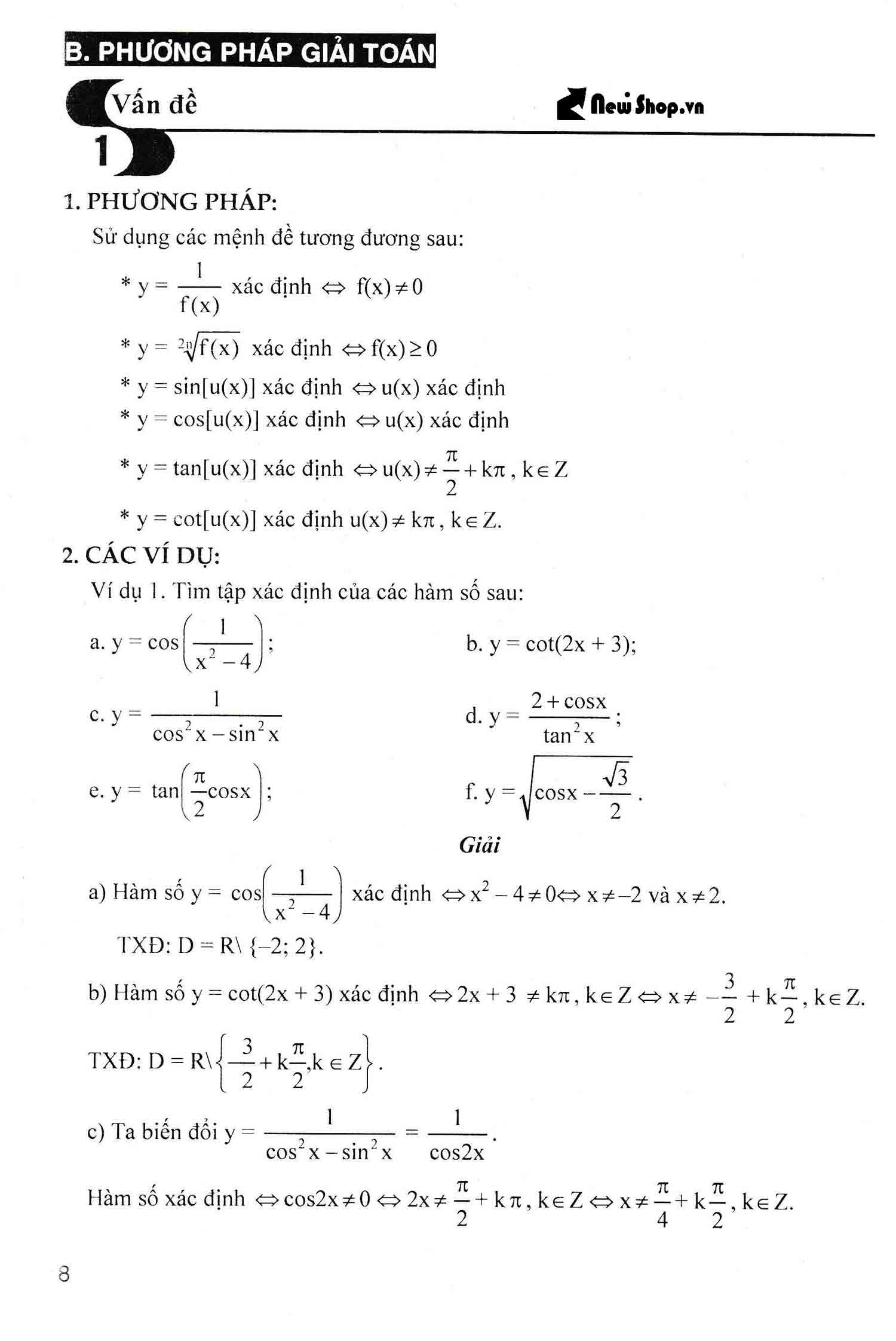
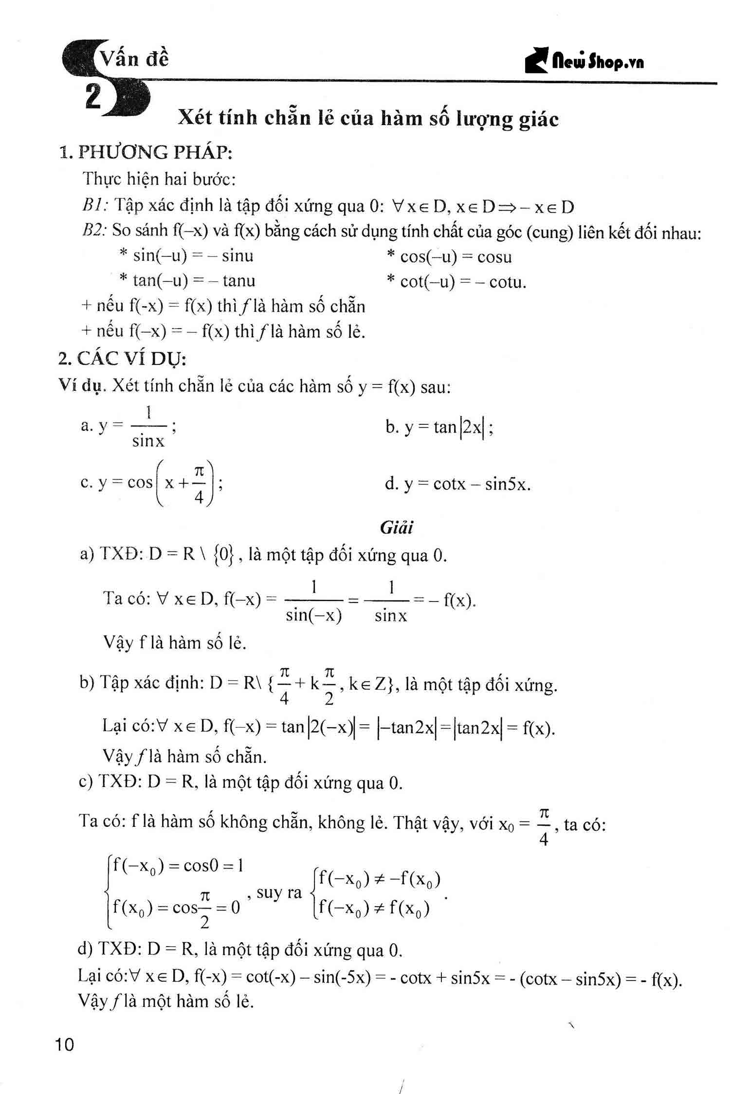
Chương 1 : Hàm số lượng giác và phương trình lượng giác.
Chương 2 : Tổ hợp và xác xuất
Chương 3 : Qui nạp toán học và dãy số
Chương 4 : Giới hạn
Chương 5 : Đạo hàm
Nội dung của mỗi chương được trình bày theo bố cục bài học như trong sách giáo khoa.
Mỗi bài gồm các phần :
A. Tóm tắt sách giáo khoa

B. Phương pháp giải các dạng toán: Phần này được trình bày theo từng vấn đề. Mỗi vấn đề là một dạng toán thường gặp liên quan đến kiến thức của từng bài học tương ứng.

Giá sản phẩm trên Tiki đã bao gồm thuế theo luật hiện hành. Bên cạnh đó, tuỳ vào loại sản phẩm, hình thức và địa chỉ giao hàng mà có thể phát sinh thêm chi phí khác như phí vận chuyển, phụ phí hàng cồng kềnh, thuế nhập khẩu (đối với đơn hàng giao từ nước ngoài có giá trị trên 1 triệu đồng).....
Ngọc Vàng
Sách khá hay ,nhiều dạng bài tập cũng phù hợp cho việc tự luyện tập nhưng giá hơi cao nha giá thấp xuống xíu là ok hơn rồi
Hình ảnh đánh giá thực tế