Sách 100 Đề Kiểm Tra Toán 8

Đã bán: 15
Đánh giá:
5 sao tại tiki
89,200đ 119,000đ
Tiết kiệm:
29,800đ
so với giá thị trường Đề xuất
Tham khảo có 3 nơi bán

Thông số kỹ thuật Sách 100 Đề Kiểm Tra Toán 8

100 Đề Kiểm Tra Toán 8

Nhằm giúp các thầy cô, các bậc phụ huynh cùng các học sinh có tài liệu giúp ôn luyện, tự kiểm tra và đánh giá kiến thức cho các em học sinh các tác giả Nguyễn Đức Tấn, Nguyễn Anh Hoàng, Nguyễn Đoàn Vũ, Đỗ Quang Thanh, Lưu Hoàng Hảo và Nguyễn Tấn Toàn đã biên soạn cuốn "100 đề kiểm tra toán 8". Để giúp các em có những kiến thức sâu rộng và vững chắc các tác giả đã biên soạn với nội dung cuốn sách gồm 3 phần:

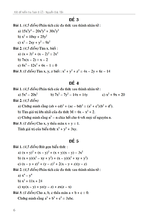
Phần 1: đề kiểm tra và hướng dẫn giải

Phần 2: đề kiểm tra ở một vài địa phương

Phần 3: đề kiểm tra học sinh giỏi toán

Phụ lục: thử thách

Cuốn sách hướng các em đến gần hơn với các bài kiểm tra và các kỳ thi và giúp các em bổ trợ thêm những kiến thức hữu ích, qua cuốn sách " 100 đề kiểm tra toán 8 " này hy vọng các em đạt kết quả tốt trong những kỳ thi.

Giá sản phẩm trên Tiki đã bao gồm thuế theo luật hiện hành. Bên cạnh đó, tuỳ vào loại sản phẩm, hình thức và địa chỉ giao hàng mà có thể phát sinh thêm chi phí khác như phí vận chuyển, phụ phí hàng cồng kềnh, thuế nhập khẩu (đối với đơn hàng giao từ nước ngoài có giá trị trên 1 triệu đồng).....

Cùng thương hiệu

Đăng nhập
Đăng ký